Background: AML1-ETO-positive acute myeloid leukemia, is classified as a favorable leukemia subtype according to the European Leukemia Net (ELN) risk stratification. Nevertheless, studies show the biology and prognosis within the AML1-ETO-positive AML are highly different, which suggests that more prognostic factors are needed to be identified.
Aims: This study mainly revealed the genomic mutation characteristics and explored more factors which affect the prognosis of Chinese AML1-ETO-positive AML patients.
Methods: A total of 167 AML1-ETO-positive patients who diagnosed and treated in Zhejiang Institute of Hematology had cryopreserved DNA for deep target 185-gene regional sequencing. Variants were detected with a variant allele frequency (VAF) cutoff of 0.5%. We used a LASSO Cox regression model to build risk score for predicting overall survival. A nomogram was constructed to display the risk of death in individuals. The discrimination of the risk score was measured by the concordance index (C-index) and areas under time-dependent receiver-operating characteristics (ROC) curves (AUCs), and the calibration of the risk score was explored graphically by calibration plots. Patients (n=75) from other hospital were used as a validation cohort.
Results: The median age in analyzed patients was 42(6-78) years. The most common recurrent mutations occurred in KIT(n=84,50%), ASXL2(n=46,28%), NRAS(n=37,22%), FLT3-ITD(n=35,21%) and TET2(n=30,18%). We observed that high KIT mutant allele burden predicts for poor outcome in t(8:21) AML. High KIT VAF(≥15%) correlated with shortened overall survival compared to the other KIT mutated cases including low VAF and wild-type KIT (3-year OS 26.6% vs 59.0% vs 69.6%, HR 1.50, 95%CI 0.78-2.89, P=0.0005). In addition, we also identified some other mutated genes influence the prognosis of patients with t (8;21), such as FLT3-ITD high mutation burden(VAF≥44% vs other cases, 3-year OS 30.0% vs 56.2%, HR 2.94, 95%CI 0.43-20.18, P=0.056), TET2 high mutation burden (VAF≥43% vs other cases, 3-year OS 33.3% vs 56.5%, HR 2.87, 95%CI 0.66-12.46, P=0.018) and DHX15 high mutation burden (VAF≥22% vs other cases, 3-year OS 15.0% vs 58.3%, HR 2.65, 95%CI 0.81-8.73, P=0.011).
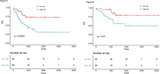
In univariate analyses for OS, age>42 (3-year OS 46.3% vs 64.4%, HR 1.91, 95%CI 1.14-3.14, P=0.012), WBC>27.1×109/L(3-year OS 34.3% vs 60.0%, HR 2.59, 95%CI 1.13-5.9, P=0.001), BM blast>20% (3-year OS 52.2% vs 92.8%, HR 6.36, 95%CI 2.7-14.97, P =0.035), LDH > 504U/L (3-year OS 44.1% vs 67.1%, HR 2.62, 95%CI 1.50-4.59, P=0.0007), PLT≤28×109/L (3-year OS 47.1% vs 66.9%, HR 1.89, 95%CI 1.13-3.17, P=0.019), HB≤87g/L (3-year OS 49.4% vs 73.8%, HR 2.20, 95%CI 1.27-3.84, P=0.019) were significantly associated with poor OS. Six variables were incorporated in our scoring model by LASSO, including age, WBC, PLT, KIT mutation, FLT3-ITD mutation and TET2 mutation. A risk scoring model was developed incorporating the weighted coefficients of these variables. The risk score grouped AML1-ETO AML patients into two subgroup: low risk (LR, n=68) and high risk (HR, n=86) groups. The 3-year OS for LR and HR groups were 72.7% and 43.0% (P<0.0001, Figure A). The similar results were also observed in validation cohort (3-year OS 79.1% vs 49.5%, P= 0.01; Figure B). Concordance index [train: 0.708, 95% CI (0.680, 0.736), validation: 0.722, 95% CI (0.666, 0.778)] demonstrated well discrimination power and calibration plots showed that the nomograms did well compared with an ideal model.
Conclusion: In this study, our findings indicate that the prognostic effect of gene mutation in de novo t(8:21) AML may be influenced by the relative abundance of the mutated allele. A novel scoring model was developed and validated that incorporated molecular and clinical profiles. According to our score model, AML1-ETO AML patients could be further stratified into two subgroups with distinct clinical outcomes. Our data can serve as a basis for guided and risk-adapted treatment strategies for CBF-AML patients. The results are needed to be validated in other independent cohorts and prospective studies before implementation into clinics.
No relevant conflicts of interest to declare.
Author notes
Asterisk with author names denotes non-ASH members.
